“宁当鸡头、不做凤尾”是我们每个人耳熟能详的格言,这句话反映了人们希望体现自我价值,获得积极的自我感知。在学业背景中,研究表明积极的学业能力感知,即学业自我概念,能够预测学生未来的学业成就、成就目标、学习兴趣、受教育水平等。近几十年来,很多纵向研究试图探究学业自我概念和学业成就的关系,但结论不一。
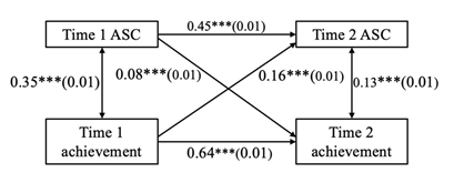
本研究对探究了学业自我概念与学业成就关系的68篇纵向研究(204个效应量)进行元分析,试图探究二者的关系及影响二者关系的调节变量。结果发现,在控制了结果变量的基线水平后,学业自我概念显著预测学生未来的学业成就(β = 0.08, p < 0.01),而学业成就同样显著预测学业自我概念(β = 0.16, p < 0.01),为交互作用模型提供了支持(见图1)。调节效应进一步发现,学业自我概念对学业成就的影响受到学生年龄阶段、成就水平及成就测量方式的影响;而学业成就对学业自我概念的影响也受到了学生年龄阶段的影响。通过合并分析年龄阶段对两条路径的影响,我们发现了学业自我概念和学业成就的关系在交互作用模型框架内呈现出显著的变化趋势。也就是说,在儿童期,学业成就对学业自我概念的影响(β = 0.18, p < 0.01, 95% ci [0.15, 0.22])要显著大于学业自我概念对学业成就的影响 (β = 0.06, p < 0.01, 95% ci [0.04, 0.08]),表现出更强的技能发展效应;而在青春期,学业成就对学业自我概念的影响 (β= 0.12, p < 0.01, 95% ci [0.09, 0.16])与学业自我概念对学业成就的影响(β= 0.11, p < 0.01, 95% ci [0.08, 0.14])基本没有差异,表现出更强的交互作用效应(见图2)。
本研究结果不仅进一步为学业自我概念和学业成就关系的交互作用模型提供了支持,还为未来的教育干预提供了启示,即对学生学业自我概念的干预在不同年龄阶段应该有所侧重。
该研究发表在教育心理学综述目前排名第一的杂志《Educational Psychology Review》上,5年影响因子为7.01。必赢776net必赢776net郭成教授为论文通讯作者,第一作者为必赢776net在读博士生吴慧敏。本研究得到中央高校创新团队项目(SWU1909106),以及国家自然科学基金(31600905, 32000777)的资助。
论文信息:Wu, H., Guo Y., Yang, Y., Zhao, L., & Guo, C. (2021). A meta-analysis of the longitudinal relationship between academic self-concept and academic achievement. Educational Psychology Review. https://doi.org/10.1007/s10648-021-09600-1.
全文链接:
https://link.springer.com/article/10.1007%2Fs10648-021-09600-1

图1学业自我概念与学业成就的交互作用模型

图2学业自我概念与学业成就的关系变化