如何准确的进行情绪敏感性测量并灵活地实现情绪调节具有重要现实意义。 袁加锦课题组近期针对情绪敏感性的准确测量与情绪调节的神经机制开展了系列研究。课题组首先采用行为和脑成像技术相结合的方法,分别通过情绪辨别任务与情绪启动任务,对比了视听通道接收同一情绪事件(情绪等价的愤怒表情)所产生的情绪影响。多维度的证据汇聚性显示与视觉接收相比,听觉接收所产生的情绪影响显著更弱。该项研究丰富了关于情绪调节的已有知识,对如何选择情绪接收方式以实现情绪的灵活调节具有重要启示。相关文章近期发表于Neuroscience Bulletin杂志(第一作者:2015级硕士生张鹤鸣)。
针对情绪调节对抑郁的预测及其神经机制这一问题,课题组通过大样本静息态脑成像数据,探究默认网络的自发神经活动,情绪调节倾向及抑郁三者的关系,课题组采用独立成分分析(ICA)与感兴趣区域分析(ROI)两种方法提取多项静息态指标。发现量化脑网络复杂性/长时记忆性的赫斯特指数(Hurst)与个体的自发重评能力存在显著负相关,中介分析结果表明该指数部分中介了自发重评与抑郁之间的关系。该项研究揭示了自发性认知重评对抑郁的负向预测作用并初步揭示了该预测功能的神经机制。相关文章近期发表在情绪研究领域权威期刊Social Cognitive and Affective Neuroscience(研究生高伟,陈圣栋为第一作者)。

图1:DMN网络的长时记忆性对自发重评-抑郁关联的中介机制
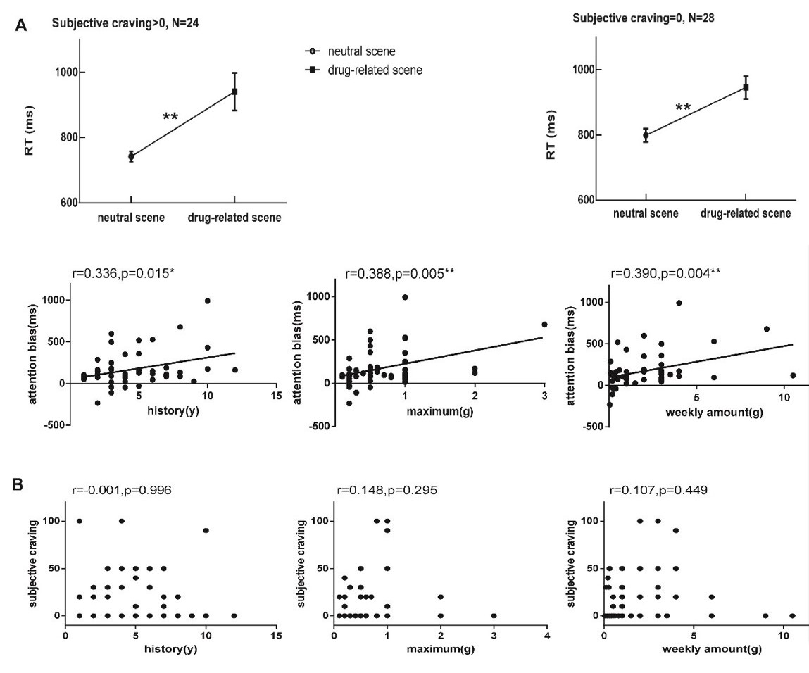
为了优化情绪敏感性的鉴别方式,该团队以甲基苯丙胺(MA)成瘾群体为研究对象,探讨不同测量方式对成瘾程度的预测效果。课题组采用线索诱发渴求与注意偏向任务来考察两种测量方式对成瘾程度的检测效果。结果表明主观报告零渴求的被试依然对毒品相关线索表现出可靠的注意偏向;且该注意偏向与多项成瘾程度的临床指标显著正相关。相反,主观渴求评分与各项成瘾程度指标之间不存在相关关系。该项研究为测量甲基苯丙胺使用障碍者的成瘾程度提供了一种更为客观可靠的行为指标,对于在强制康复中心测量成瘾者的成瘾改善状况具有重要的现实意义。相关文章被BMJ子刊《General psychiatry》杂志上接受(第一作者:2015级硕士生梁琼丹)。

图2:注意偏向测量相比主观渴求对成瘾深度的预测效果
Reference: *通讯作者
Wei Gao, ShengDong Chen, Bharat Biswal, Xu Lei & Jiajin Yuan* (2018) Temporal dynamics of spontaneous default-mode network activity mediate the association between reappraisal and depression. Social Cognitive and Affective Neuroscience, 2018,13(12): 1235-1247. doi: 10.1093/scan/nsy092
Zhang HM, Chen XH, Chen SD,Li YS, Chen CM, Long QS,& Yuan JJ*. (2018) Facial Expression Enhances Emotion Perception Compared to Vocal Prosody: Behavioral and fMRI Studies. Neuroscience Bulletin. 2018. October, 34(5):801–815;doi: 10.1007/s12264-018-0231-9
Liang Q, Cao X, Yuan TF & Yuan JJ* (2019) Assessing the severity of methamphetamine use disorder beyond the subjective craving report: the role of an attention bias test. General Psychiatry (in press)