化学感受的个体间差异影响食物偏好和食物摄入。近期发表在《Neuroimage》杂志上的一项研究发现,对甜味高敏感度的正常体重个体在高脂、高糖食物气味的刺激下,其大脑奖赏脑区激活程度显著高于那些对甜味低敏感度的个体。
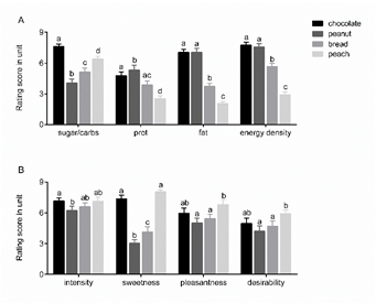
基于对甜味的敏感程度(阈限感受值),将志愿者分为甜味高敏感度(high sensitivity;HS)和甜味低敏感度(low sensitivity;LS)两组。为了探究和对比两组被试在加工食物中不同营养素的脑激活情况,研究选取了四种食物气味,分别代表高脂高糖(巧克力气味)、高脂低糖(烤花生气味)、低脂高糖(桃子气味)和低脂低糖(面包气味)食物,在控制饥饿度等相关指标后,对两组志愿者进行了功能性核磁共振扫描。在完成脑影像实验后,两组志愿者对四种食物气味的强度、甜度、愉悦度、渴望度以及每种气味代表食物的糖、脂肪、蛋白质含量和热量密度分别进行评分。
评分结果显示,志愿者能够在主要营养素含量(脂肪、糖)方面较好的区分四种食物气味(图1)。脑影像结果发现,甜味高敏感度组额下岛盖(frontal inferior operculum)和脑岛(insula)分别在高糖食物气味和高脂食物气味刺激下,激活程度显著高于甜味低敏感度组(图2)。这可能与甜味高敏感者对高脂高糖、可口的食物气味奖赏加工更强有关。这一研究为深入理解食物偏好和进食行为的神经机制提供了证据。
该文章涉及的研究工作是由必赢776net韩鹏飞教授和德国德累斯顿工业大学医学院Thomas Hummel教授合作完成,本文的第一作者和通讯作者是韩鹏飞教授。
论文信息:https://www.sciencedirect.com/science/article/pii/S1053811919310043
图1 气味评分结果

图2 甜味高、低敏感度组大脑对食物气味刺激的激活差异